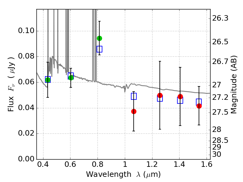
PLCKG209+10 ACS+IR detection object #2341

Color images and BPZ results
Catalog: 2341.cat
Black segments are analyzed here.   Roll mouse over color images to view segments.
Best viewed in a wide browser window (1200 pixels or more).   Download SED & P(z) plots to view larger versions.
In P(z) plots: Yellow lines mark the cluster redshift z = 0.677,  

Object #2341   x,y = (2116, 2681)   RA, Dec = (07:22:24.768, 07:24:42.84) = (110.60320, 7.41190)   BPZ = 0.171 [0.089--2.949]   type = 11.00 (SB11_A_0_l)   stellarity = 0.00   chisq2 = 0.24   ODDS = 0.39   z_cluster = 0.677