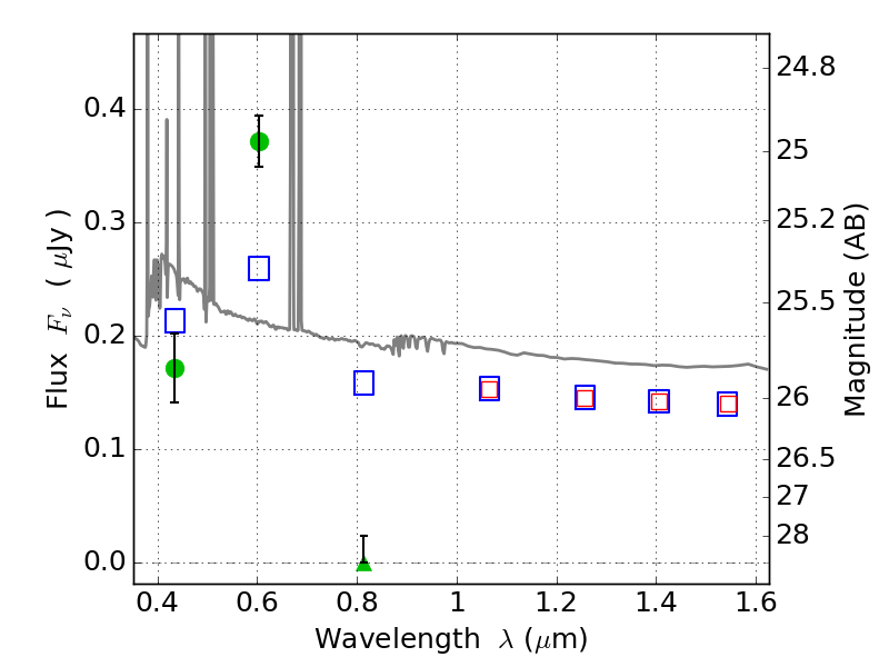
PLCKG209+10 ACS+IR detection object #2231

Color images and BPZ results
Catalog: 2231.cat
Black segments are analyzed here.   Roll mouse over color images to view segments.
Best viewed in a wide browser window (1200 pixels or more).   Download SED & P(z) plots to view larger versions.
In P(z) plots: Yellow lines mark the cluster redshift z = 0.677,  

Object #2231   x,y = (713, 2754)   RA, Dec = (07:22:30.408, 07:24:47.16) = (110.62670, 7.41310)   BPZ = 0.020 [0.010--0.045]   type = 11.00 (SB11_A_0_l)   stellarity = 1.00   chisq2 = 46.75   ODDS = 1.00   z_cluster = 0.677