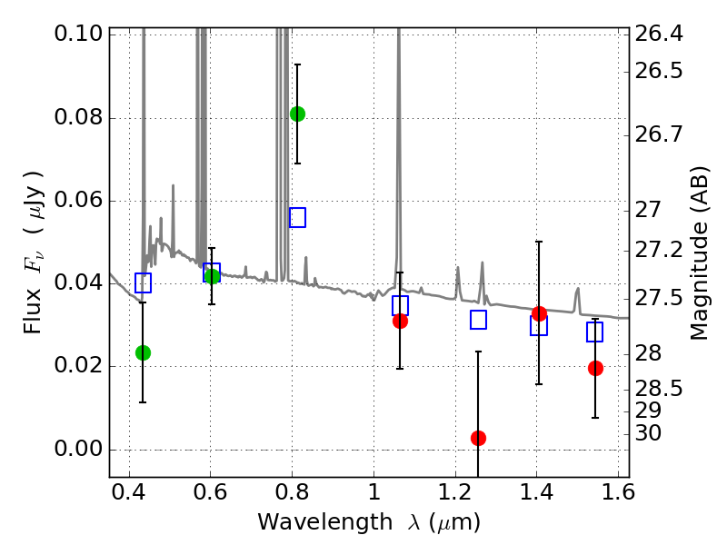
PLCKG209+10 ACS+IR detection object #1357

Color images and BPZ results
Catalog: 1357.cat
Black segments are analyzed here.   Roll mouse over color images to view segments.
Best viewed in a wide browser window (1200 pixels or more).   Download SED & P(z) plots to view larger versions.
In P(z) plots: Yellow lines mark the cluster redshift z = 0.677,  

Object #1357   x,y = (2432, 3353)   RA, Dec = (07:22:23.472, 07:25:23.16) = (110.59780, 7.42310)   BPZ = 0.171 [0.092--3.780]   type = 10.80 (SB11_A_0_l - SB3_B10)   stellarity = 0.45   chisq2 = 2.06   ODDS = 0.38   z_cluster = 0.677