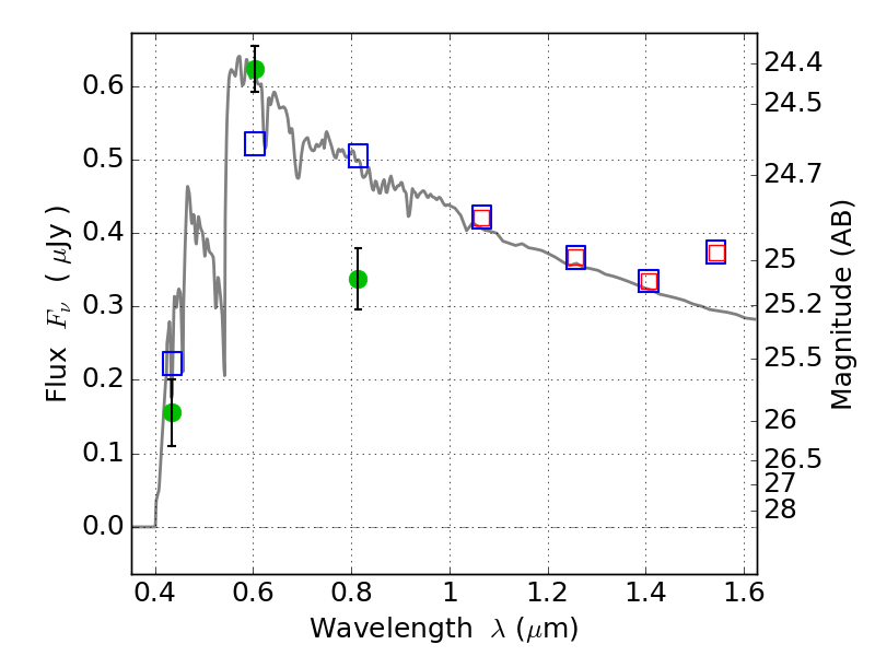
PLCKG209+10 ACS+IR detection object #1169

Color images and BPZ results
Catalog: 1169.cat
Black segments are analyzed here.   Roll mouse over color images to view segments.
Best viewed in a wide browser window (1200 pixels or more).   Download SED & P(z) plots to view larger versions.
In P(z) plots: Yellow lines mark the cluster redshift z = 0.677,  

Object #1169   x,y = (4167, 3441)   RA, Dec = (07:22:16.488, 07:25:28.56) = (110.56870, 7.42460)   BPZ = 3.458 [3.254--3.620]   type = 11.00 (SB11_A_0_l)   stellarity = 0.86   chisq2 = 15.68   ODDS = 0.95   z_cluster = 0.677