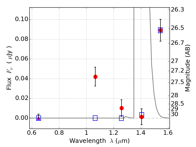
PLCKG209+10-PAR IR detection object #634

Color images and BPZ results
Catalog: 634.cat
Black segments are analyzed here.   Roll mouse over color images to view segments.
Best viewed in a wide browser window (1200 pixels or more).   Download SED & P(z) plots to view larger versions.
In P(z) plots: Yellow lines mark the cluster redshift z = 0.677,  

Object #634   x,y = (3051, 2552)   RA, Dec = (07:22:04.536, 07:29:03.12) = (110.51890, 7.48420)   BPZ = 12.192 [11.718--12.957]   type = 11.00 (SB11_A_0_l)   stellarity = 0.63   chisq2 = 7.41   ODDS = 0.80   z_cluster = 0.677