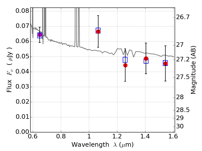
PLCKG209+10-PAR IR detection object #120

Color images and BPZ results
Catalog: 120.cat
Black segments are analyzed here.   Roll mouse over color images to view segments.
Best viewed in a wide browser window (1200 pixels or more).   Download SED & P(z) plots to view larger versions.
In P(z) plots: Yellow lines mark the cluster redshift z = 0.677,  

Object #120   x,y = (2481, 3428)   RA, Dec = (07:22:06.840, 07:29:55.68) = (110.52850, 7.49880)   BPZ = 0.382 [0.102--3.342]   type = 11.00 (SB11_A_0_l)   stellarity = 0.73   chisq2 = 0.06   ODDS = 0.12   z_cluster = 0.677