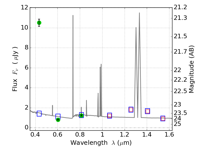
PLCKG171-40 ACS+IR detection object #841

Color images and BPZ results
Catalog: 841.cat
Black segments are analyzed here.   Roll mouse over color images to view segments.
Best viewed in a wide browser window (1200 pixels or more).   Download SED & P(z) plots to view larger versions.
In P(z) plots: Yellow lines mark the cluster redshift z = 0.270,  

Object #841   x,y = (4243, 3551)   RA, Dec = (03:12:50.064, 08:23:24.00) = (48.20860, 8.39000)   BPZ = 0.979 [0.912--1.124]   type = 11.00 (SB11_A_0_l)   stellarity = 0.98   chisq2 = 586.80   ODDS = 0.84   z_cluster = 0.270