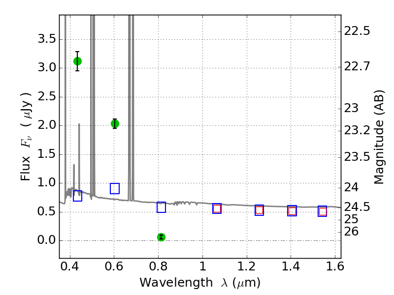
PLCKG171-40 ACS+IR detection object #522

Color images and BPZ results
Catalog: 522.cat
Black segments are analyzed here.   Roll mouse over color images to view segments.
Best viewed in a wide browser window (1200 pixels or more).   Download SED & P(z) plots to view larger versions.
In P(z) plots: Yellow lines mark the cluster redshift z = 0.270,  

Object #522   x,y = (4247, 3814)   RA, Dec = (03:12:50.040, 08:23:39.84) = (48.20850, 8.39440)   BPZ = 0.017 [0.010--0.033]   type = 11.00 (SB11_A_0_l)   stellarity = 0.98   chisq2 = 342.40   ODDS = 1.00   z_cluster = 0.270