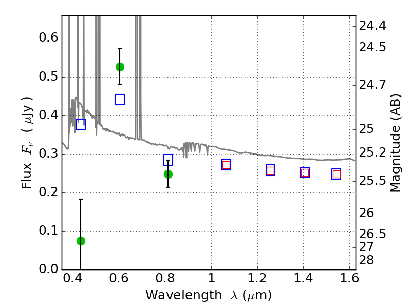
PLCKG171-40 ACS+IR detection object #498

Color images and BPZ results
Catalog: 498.cat
Black segments are analyzed here.   Roll mouse over color images to view segments.
Best viewed in a wide browser window (1200 pixels or more).   Download SED & P(z) plots to view larger versions.
In P(z) plots: Yellow lines mark the cluster redshift z = 0.270,  

Object #498   x,y = (4279, 3842)   RA, Dec = (03:12:49.896, 08:23:41.28) = (48.20790, 8.39480)   BPZ = 0.031 [0.013--3.376]   type = 11.00 (SB11_A_0_l)   stellarity = 0.98   chisq2 = 10.42   ODDS = 0.40   z_cluster = 0.270