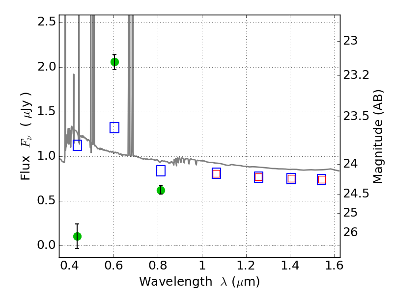
PLCKG171-40 ACS+IR detection object #47

Color images and BPZ results
Catalog: 47.cat
Black segments are analyzed here.   Roll mouse over color images to view segments.
Best viewed in a wide browser window (1200 pixels or more).   Download SED & P(z) plots to view larger versions.
In P(z) plots: Yellow lines mark the cluster redshift z = 0.270,  

Object #47   x,y = (805, 4363)   RA, Dec = (03:13:03.960, 08:24:12.60) = (48.26650, 8.40350)   BPZ = 0.017 [0.010--0.036]   type = 11.00 (SB11_A_0_l)   stellarity = 0.92   chisq2 = 81.24   ODDS = 1.00   z_cluster = 0.270