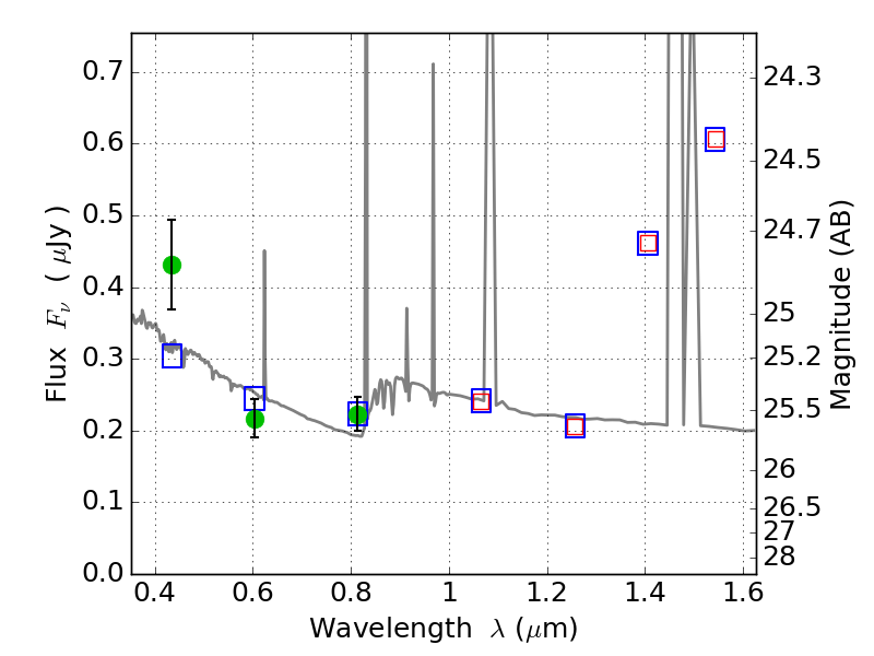
PLCKG171-40 ACS+IR detection object #4272

Color images and BPZ results
Catalog: 4272.cat
Black segments are analyzed here.   Roll mouse over color images to view segments.
Best viewed in a wide browser window (1200 pixels or more).   Download SED & P(z) plots to view larger versions.
In P(z) plots: Yellow lines mark the cluster redshift z = 0.270,  

Object #4272   x,y = (1849, 1212)   RA, Dec = (03:12:59.736, 08:21:03.60) = (48.24890, 8.35100)   BPZ = 1.226 [0.831--2.464]   type = 11.00 (SB11_A_0_l)   stellarity = 0.00   chisq2 = 3.27   ODDS = 0.17   z_cluster = 0.270