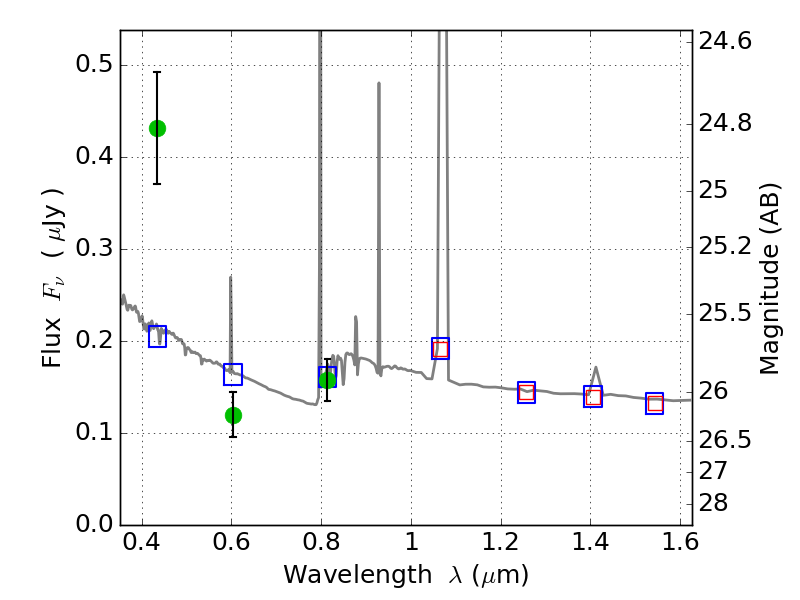
PLCKG171-40 ACS+IR detection object #4229

Color images and BPZ results
Catalog: 4229.cat
Black segments are analyzed here.   Roll mouse over color images to view segments.
Best viewed in a wide browser window (1200 pixels or more).   Download SED & P(z) plots to view larger versions.
In P(z) plots: Yellow lines mark the cluster redshift z = 0.270,  

Object #4229   x,y = (1688, 1245)   RA, Dec = (03:13:00.384, 08:21:05.40) = (48.25160, 8.35150)   BPZ = 1.136 [0.714--2.418]   type = 11.00 (SB11_A_0_l)   stellarity = 0.79   chisq2 = 15.71   ODDS = 0.17   z_cluster = 0.270