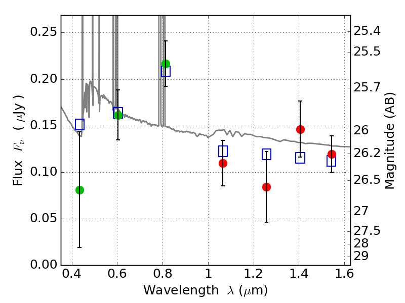
PLCKG171-40 ACS+IR detection object #3821

Color images and BPZ results
Catalog: 3821.cat
Black segments are analyzed here.   Roll mouse over color images to view segments.
Best viewed in a wide browser window (1200 pixels or more).   Download SED & P(z) plots to view larger versions.
In P(z) plots: Yellow lines mark the cluster redshift z = 0.270,  

Object #3821   x,y = (2724, 1507)   RA, Dec = (03:12:56.184, 08:21:21.24) = (48.23410, 8.35590)   BPZ = 0.201 [0.097--3.739]   type = 11.00 (SB11_A_0_l)   stellarity = 0.02   chisq2 = 0.80   ODDS = 0.33   z_cluster = 0.270