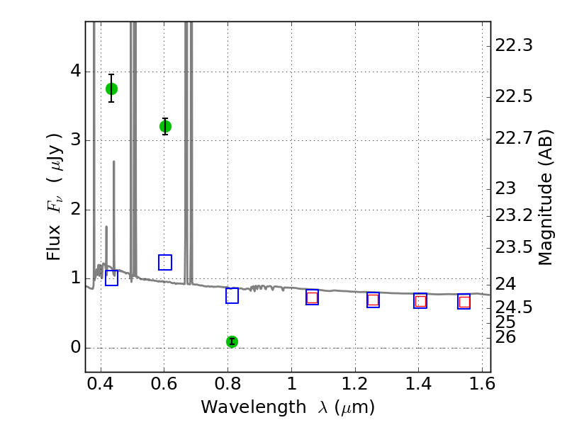
PLCKG171-40 ACS+IR detection object #377

Color images and BPZ results
Catalog: 377.cat
Black segments are analyzed here.   Roll mouse over color images to view segments.
Best viewed in a wide browser window (1200 pixels or more).   Download SED & P(z) plots to view larger versions.
In P(z) plots: Yellow lines mark the cluster redshift z = 0.270,  

Object #377   x,y = (4278, 3918)   RA, Dec = (03:12:49.920, 08:23:45.96) = (48.20800, 8.39610)   BPZ = 0.019 [0.010--0.032]   type = 11.00 (SB11_A_0_l)   stellarity = 0.95   chisq2 = 399.20   ODDS = 1.00   z_cluster = 0.270