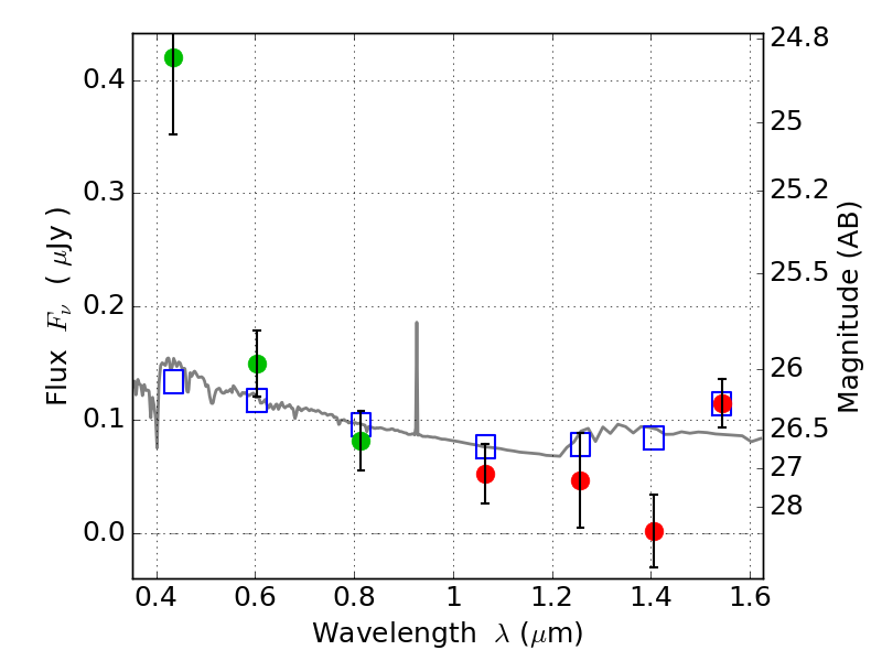
PLCKG171-40 ACS+IR detection object #3748

Color images and BPZ results
Catalog: 3748.cat
Black segments are analyzed here.   Roll mouse over color images to view segments.
Best viewed in a wide browser window (1200 pixels or more).   Download SED & P(z) plots to view larger versions.
In P(z) plots: Yellow lines mark the cluster redshift z = 0.270,  

Object #3748   x,y = (2293, 1546)   RA, Dec = (03:12:57.936, 08:21:23.76) = (48.24140, 8.35660)   BPZ = 2.315 [1.287--2.912]   type = 11.00 (SB11_A_0_l)   stellarity = 0.00   chisq2 = 6.50   ODDS = 0.38   z_cluster = 0.270