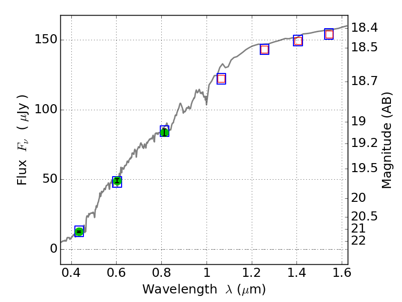
PLCKG171-40 ACS+IR detection object #3671

Color images and BPZ results
Catalog: 3671.cat
Black segments are analyzed here.   Roll mouse over color images to view segments.
Best viewed in a wide browser window (1200 pixels or more).   Download SED & P(z) plots to view larger versions.
In P(z) plots: Yellow lines mark the cluster redshift z = 0.270,  

Object #3671   x,y = (3982, 1572)   RA, Dec = (03:12:51.120, 08:21:25.20) = (48.21300, 8.35700)   BPZ = 0.168 [0.105--0.200]   type = 3.50 (Ell4_A_0 - Ell5_A_0)   stellarity = 0.03   chisq2 = 0.02   ODDS = 0.92   z_cluster = 0.270