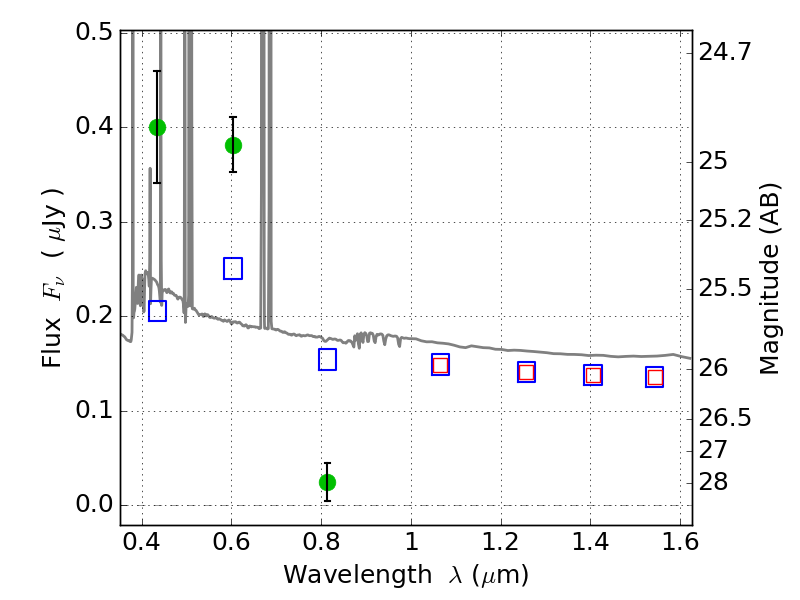
PLCKG171-40 ACS+IR detection object #3606

Color images and BPZ results
Catalog: 3606.cat
Black segments are analyzed here.   Roll mouse over color images to view segments.
Best viewed in a wide browser window (1200 pixels or more).   Download SED & P(z) plots to view larger versions.
In P(z) plots: Yellow lines mark the cluster redshift z = 0.270,  

Object #3606   x,y = (721, 1696)   RA, Dec = (03:13:04.296, 08:21:32.76) = (48.26790, 8.35910)   BPZ = 0.021 [0.010--1.783]   type = 11.00 (SB11_A_0_l)   stellarity = 0.90   chisq2 = 50.51   ODDS = 0.94   z_cluster = 0.270