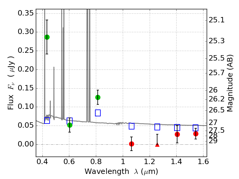
PLCKG171-40 ACS+IR detection object #3448

Color images and BPZ results
Catalog: 3448.cat
Black segments are analyzed here.   Roll mouse over color images to view segments.
Best viewed in a wide browser window (1200 pixels or more).   Download SED & P(z) plots to view larger versions.
In P(z) plots: Yellow lines mark the cluster redshift z = 0.270,  

Object #3448   x,y = (2199, 2037)   RA, Dec = (03:12:58.320, 08:21:52.92) = (48.24300, 8.36470)   BPZ = 0.117 [0.080--2.592]   type = 11.00 (SB11_A_0_l)   stellarity = 0.00   chisq2 = 9.74   ODDS = 0.54   z_cluster = 0.270