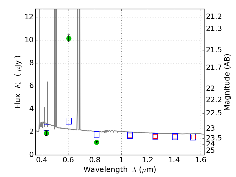
PLCKG171-40 ACS+IR detection object #3387

Color images and BPZ results
Catalog: 3387.cat
Black segments are analyzed here.   Roll mouse over color images to view segments.
Best viewed in a wide browser window (1200 pixels or more).   Download SED & P(z) plots to view larger versions.
In P(z) plots: Yellow lines mark the cluster redshift z = 0.270,  

Object #3387   x,y = (4203, 1849)   RA, Dec = (03:12:50.208, 08:21:41.76) = (48.20920, 8.36160)   BPZ = 0.016 [0.010--0.031]   type = 11.00 (SB11_A_0_l)   stellarity = 1.00   chisq2 = 399.40   ODDS = 1.00   z_cluster = 0.270