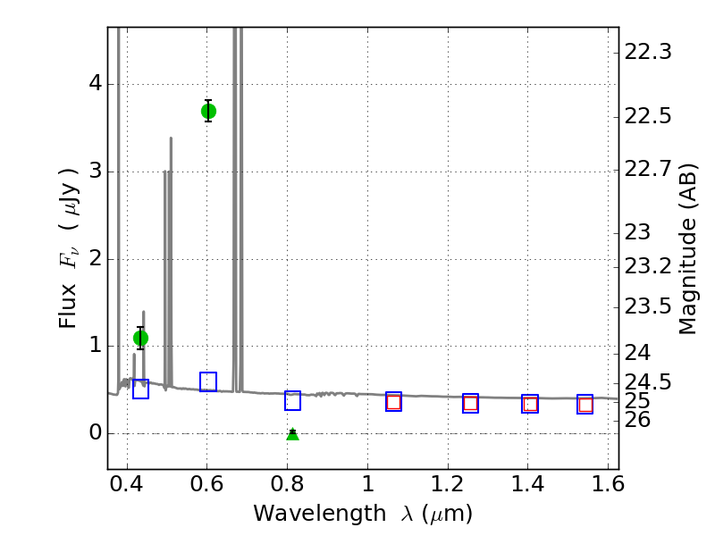
PLCKG171-40 ACS+IR detection object #3326

Color images and BPZ results
Catalog: 3326.cat
Black segments are analyzed here.   Roll mouse over color images to view segments.
Best viewed in a wide browser window (1200 pixels or more).   Download SED & P(z) plots to view larger versions.
In P(z) plots: Yellow lines mark the cluster redshift z = 0.270,  

Object #3326   x,y = (4218, 1911)   RA, Dec = (03:12:50.160, 08:21:45.36) = (48.20900, 8.36260)   BPZ = 0.017 [0.010--0.035]   type = 11.00 (SB11_A_0_l)   stellarity = 0.97   chisq2 = 644.30   ODDS = 1.00   z_cluster = 0.270