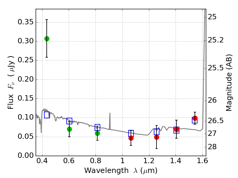
PLCKG171-40 ACS+IR detection object #3149

Color images and BPZ results
Catalog: 3149.cat
Black segments are analyzed here.   Roll mouse over color images to view segments.
Best viewed in a wide browser window (1200 pixels or more).   Download SED & P(z) plots to view larger versions.
In P(z) plots: Yellow lines mark the cluster redshift z = 0.270,  

Object #3149   x,y = (2036, 2038)   RA, Dec = (03:12:58.968, 08:21:53.28) = (48.24570, 8.36480)   BPZ = 2.237 [1.195--2.715]   type = 11.00 (SB11_A_0_l)   stellarity = 0.10   chisq2 = 4.61   ODDS = 0.36   z_cluster = 0.270