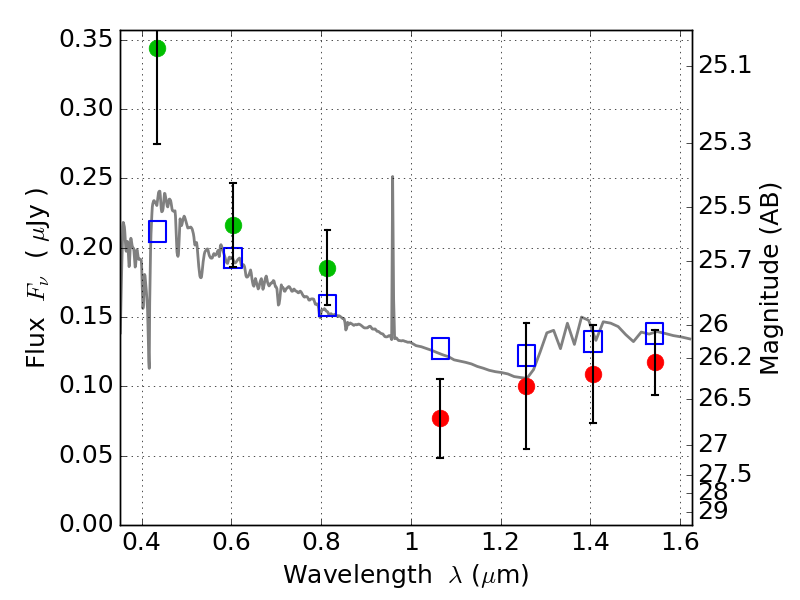
PLCKG171-40 ACS+IR detection object #3047

Color images and BPZ results
Catalog: 3047.cat
Black segments are analyzed here.   Roll mouse over color images to view segments.
Best viewed in a wide browser window (1200 pixels or more).   Download SED & P(z) plots to view larger versions.
In P(z) plots: Yellow lines mark the cluster redshift z = 0.270,  

Object #3047   x,y = (2299, 2099)   RA, Dec = (03:12:57.912, 08:21:56.88) = (48.24130, 8.36580)   BPZ = 2.432 [0.054--3.017]   type = 11.00 (SB11_A_0_l)   stellarity = 0.00   chisq2 = 2.13   ODDS = 0.29   z_cluster = 0.270