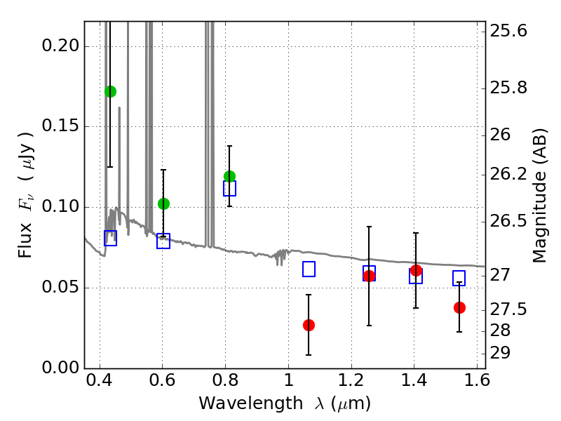
PLCKG171-40 ACS+IR detection object #2957

Color images and BPZ results
Catalog: 2957.cat
Black segments are analyzed here.   Roll mouse over color images to view segments.
Best viewed in a wide browser window (1200 pixels or more).   Download SED & P(z) plots to view larger versions.
In P(z) plots: Yellow lines mark the cluster redshift z = 0.270,  

Object #2957   x,y = (3119, 2639)   RA, Dec = (03:12:54.600, 08:22:29.28) = (48.22750, 8.37480)   BPZ = 0.132 [0.069--3.050]   type = 11.00 (SB11_A_0_l)   stellarity = 0.01   chisq2 = 2.26   ODDS = 0.35   z_cluster = 0.270