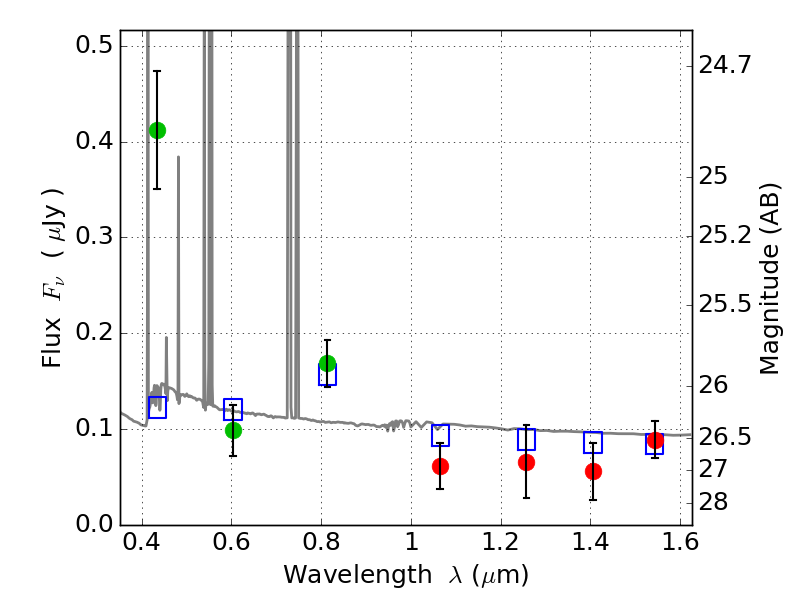
PLCKG171-40 ACS+IR detection object #2903

Color images and BPZ results
Catalog: 2903.cat
Black segments are analyzed here.   Roll mouse over color images to view segments.
Best viewed in a wide browser window (1200 pixels or more).   Download SED & P(z) plots to view larger versions.
In P(z) plots: Yellow lines mark the cluster redshift z = 0.270,  

Object #2903   x,y = (2642, 2179)   RA, Dec = (03:12:56.520, 08:22:01.56) = (48.23550, 8.36710)   BPZ = 0.107 [0.081--2.715]   type = 11.00 (SB11_A_0_l)   stellarity = 0.00   chisq2 = 6.22   ODDS = 0.32   z_cluster = 0.270