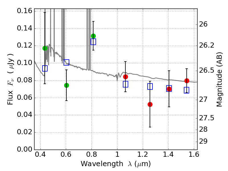
PLCKG171-40 ACS+IR detection object #2822

Color images and BPZ results
Catalog: 2822.cat
Black segments are analyzed here.   Roll mouse over color images to view segments.
Best viewed in a wide browser window (1200 pixels or more).   Download SED & P(z) plots to view larger versions.
In P(z) plots: Yellow lines mark the cluster redshift z = 0.270,  

Object #2822   x,y = (1863, 2719)   RA, Dec = (03:12:59.688, 08:22:33.96) = (48.24870, 8.37610)   BPZ = 0.173 [0.093--3.396]   type = 11.00 (SB11_A_0_l)   stellarity = 0.62   chisq2 = 0.86   ODDS = 0.24   z_cluster = 0.270