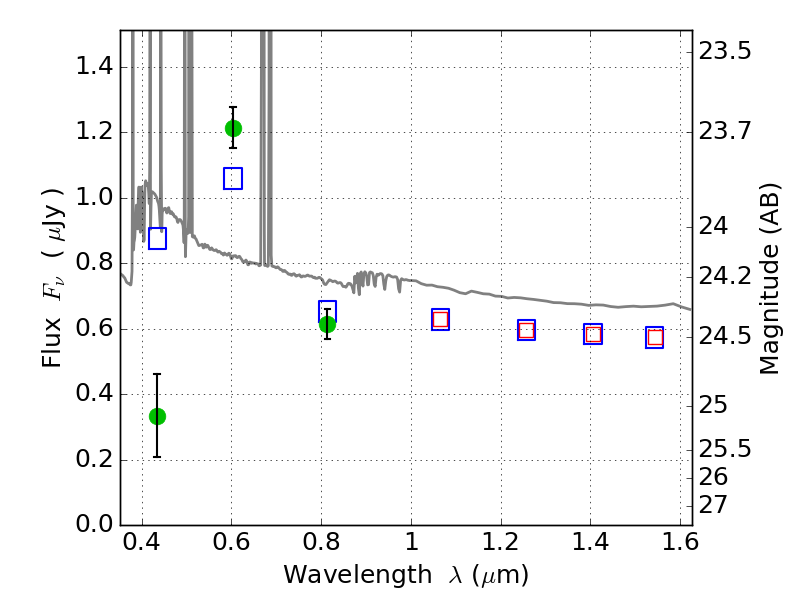
PLCKG171-40 ACS+IR detection object #2786

Color images and BPZ results
Catalog: 2786.cat
Black segments are analyzed here.   Roll mouse over color images to view segments.
Best viewed in a wide browser window (1200 pixels or more).   Download SED & P(z) plots to view larger versions.
In P(z) plots: Yellow lines mark the cluster redshift z = 0.270,  

Object #2786   x,y = (727, 2236)   RA, Dec = (03:13:04.272, 08:22:05.16) = (48.26780, 8.36810)   BPZ = 0.022 [0.010--0.052]   type = 11.00 (SB11_A_0_l)   stellarity = 0.93   chisq2 = 16.83   ODDS = 1.00   z_cluster = 0.270