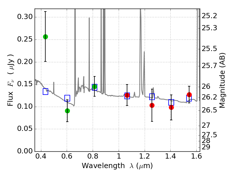
PLCKG171-40 ACS+IR detection object #2739

Color images and BPZ results
Catalog: 2739.cat
Black segments are analyzed here.   Roll mouse over color images to view segments.
Best viewed in a wide browser window (1200 pixels or more).   Download SED & P(z) plots to view larger versions.
In P(z) plots: Yellow lines mark the cluster redshift z = 0.270,  

Object #2739   x,y = (1954, 2262)   RA, Dec = (03:12:59.304, 08:22:06.60) = (48.24710, 8.36850)   BPZ = 0.779 [0.254--2.828]   type = 10.70 (SB11_A_0_l - SB3_B10)   stellarity = 0.00   chisq2 = 1.60   ODDS = 0.15   z_cluster = 0.270