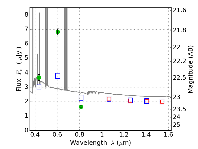
PLCKG171-40 ACS+IR detection object #2048

Color images and BPZ results
Catalog: 2048.cat
Black segments are analyzed here.   Roll mouse over color images to view segments.
Best viewed in a wide browser window (1200 pixels or more).   Download SED & P(z) plots to view larger versions.
In P(z) plots: Yellow lines mark the cluster redshift z = 0.270,  

Object #2048   x,y = (719, 2722)   RA, Dec = (03:13:04.296, 08:22:34.32) = (48.26790, 8.37620)   BPZ = 0.016 [0.010--0.031]   type = 11.00 (SB11_A_0_l)   stellarity = 0.95   chisq2 = 94.37   ODDS = 1.00   z_cluster = 0.270