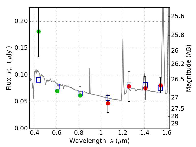
PLCKG171-40 ACS+IR detection object #1992

Color images and BPZ results
Catalog: 1992.cat
Black segments are analyzed here.   Roll mouse over color images to view segments.
Best viewed in a wide browser window (1200 pixels or more).   Download SED & P(z) plots to view larger versions.
In P(z) plots: Yellow lines mark the cluster redshift z = 0.270,  

Object #1992   x,y = (2769, 2766)   RA, Dec = (03:12:56.016, 08:22:36.84) = (48.23340, 8.37690)   BPZ = 2.225 [0.757--2.937]   type = 10.70 (SB11_A_0_l - SB3_B10)   stellarity = 0.06   chisq2 = 1.06   ODDS = 0.25   z_cluster = 0.270