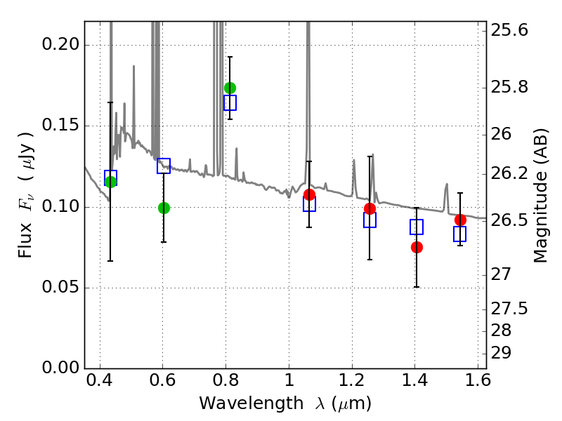
PLCKG171-40 ACS+IR detection object #1892

Color images and BPZ results
Catalog: 1892.cat
Black segments are analyzed here.   Roll mouse over color images to view segments.
Best viewed in a wide browser window (1200 pixels or more).   Download SED & P(z) plots to view larger versions.
In P(z) plots: Yellow lines mark the cluster redshift z = 0.270,  

Object #1892   x,y = (2834, 2835)   RA, Dec = (03:12:55.752, 08:22:40.80) = (48.23230, 8.37800)   BPZ = 0.171 [0.091--3.499]   type = 10.80 (SB11_A_0_l - SB3_B10)   stellarity = 0.00   chisq2 = 0.47   ODDS = 0.38   z_cluster = 0.270