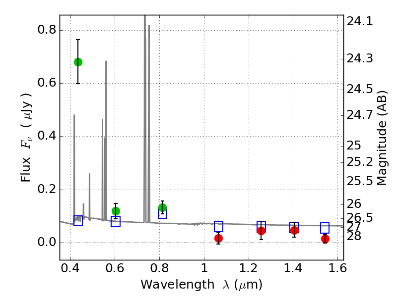
PLCKG171-40 ACS+IR detection object #1836

Color images and BPZ results
Catalog: 1836.cat
Black segments are analyzed here.   Roll mouse over color images to view segments.
Best viewed in a wide browser window (1200 pixels or more).   Download SED & P(z) plots to view larger versions.
In P(z) plots: Yellow lines mark the cluster redshift z = 0.270,  

Object #1836   x,y = (2498, 2859)   RA, Dec = (03:12:57.120, 08:22:42.24) = (48.23800, 8.37840)   BPZ = 0.116 [0.044--2.731]   type = 11.00 (SB11_A_0_l)   stellarity = 0.00   chisq2 = 15.53   ODDS = 0.41   z_cluster = 0.270