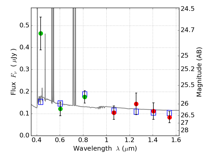
PLCKG171-40 ACS+IR detection object #1729

Color images and BPZ results
Catalog: 1729.cat
Black segments are analyzed here.   Roll mouse over color images to view segments.
Best viewed in a wide browser window (1200 pixels or more).   Download SED & P(z) plots to view larger versions.
In P(z) plots: Yellow lines mark the cluster redshift z = 0.270,  

Object #1729   x,y = (2364, 2949)   RA, Dec = (03:12:57.648, 08:22:47.64) = (48.24020, 8.37990)   BPZ = 0.095 [0.088--2.643]   type = 11.00 (SB11_A_0_l)   stellarity = 0.00   chisq2 = 4.64   ODDS = 0.09   z_cluster = 0.270