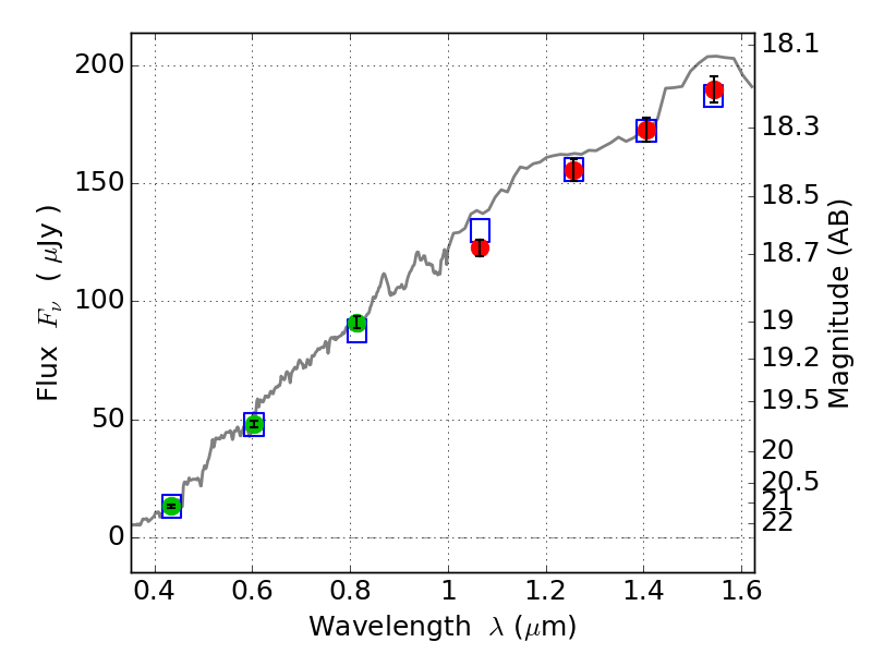
PLCKG171-40 ACS+IR detection object #1224

Color images and BPZ results
Catalog: 1224.cat
Black segments are analyzed here.   Roll mouse over color images to view segments.
Best viewed in a wide browser window (1200 pixels or more).   Download SED & P(z) plots to view larger versions.
In P(z) plots: Yellow lines mark the cluster redshift z = 0.270,  

Object #1224   x,y = (2750, 3252)   RA, Dec = (03:12:56.088, 08:23:06.00) = (48.23370, 8.38500)   BPZ = 0.153 [0.109--0.331]   type = 4.50 (ES0_B10 - Ell4_A_0)   stellarity = 0.03   chisq2 = 0.12   ODDS = 0.63   z_cluster = 0.270