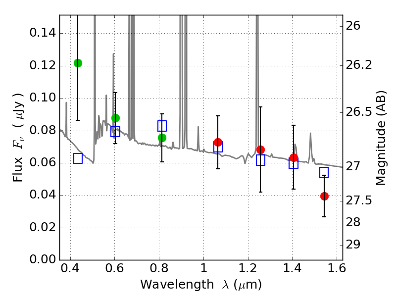
PLCKG171-40 ACS+IR detection object #1134

Color images and BPZ results
Catalog: 1134.cat
Black segments are analyzed here.   Roll mouse over color images to view segments.
Best viewed in a wide browser window (1200 pixels or more).   Download SED & P(z) plots to view larger versions.
In P(z) plots: Yellow lines mark the cluster redshift z = 0.270,  

Object #1134   x,y = (2276, 3545)   RA, Dec = (03:12:58.008, 08:23:23.64) = (48.24170, 8.38990)   BPZ = 0.370 [0.057--3.291]   type = 10.80 (SB11_A_0_l - SB3_B10)   stellarity = 0.68   chisq2 = 1.10   ODDS = 0.11   z_cluster = 0.270