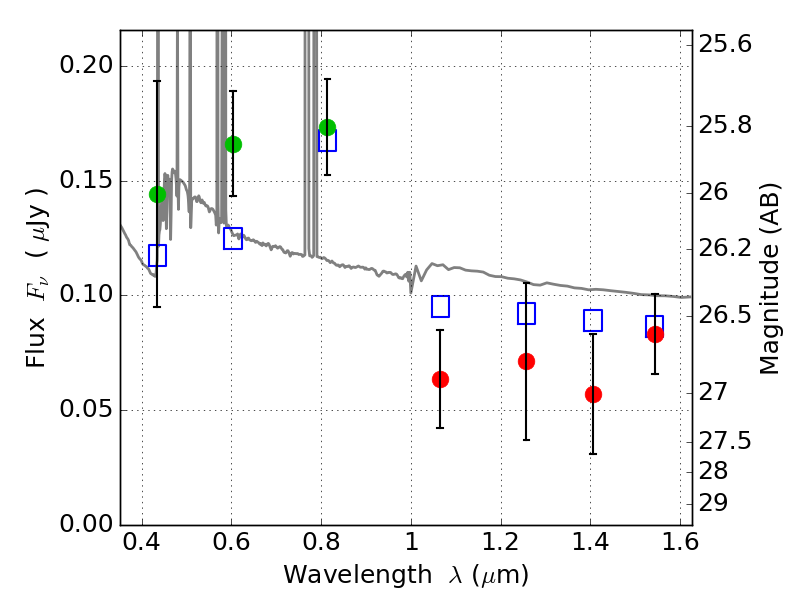
PLCKG171-40 ACS+IR detection object #842

Color images and BPZ results
Catalog: 842.cat
Black segments are analyzed here.   Roll mouse over color images to view segments.
Best viewed in a wide browser window (1200 pixels or more).   Download SED & P(z) plots to view larger versions.
In P(z) plots: Yellow lines mark the cluster redshift z = 0.270,  

Object #842   x,y = (2852, 3570)   RA, Dec = (03:12:55.680, 08:23:25.08) = (48.23200, 8.39030)   BPZ = 0.172 [0.068--3.136]   type = 11.00 (SB11_A_0_l)   chisq2 = 1.58   ODDS = 0.37   z_cluster = 0.270