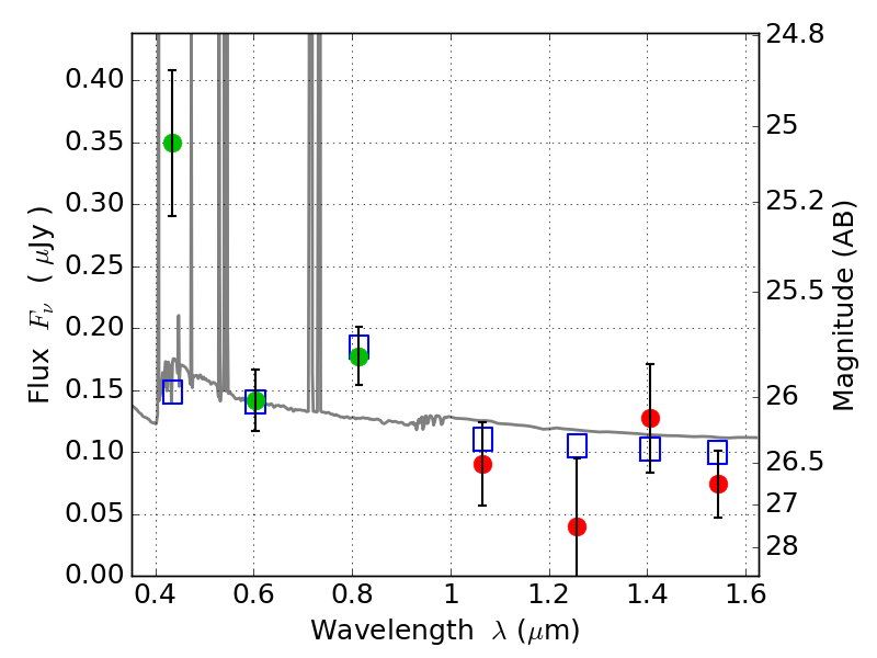
PLCKG171-40 ACS+IR detection object #766

Color images and BPZ results
Catalog: 766.cat
Black segments are analyzed here.   Roll mouse over color images to view segments.
Best viewed in a wide browser window (1200 pixels or more).   Download SED & P(z) plots to view larger versions.
In P(z) plots: Yellow lines mark the cluster redshift z = 0.270,  

Object #766   x,y = (2177, 3622)   RA, Dec = (03:12:58.416, 08:23:27.96) = (48.24340, 8.39110)   BPZ = 0.094 [0.074--2.726]   type = 11.00 (SB11_A_0_l)   chisq2 = 3.48   ODDS = 0.21   z_cluster = 0.270