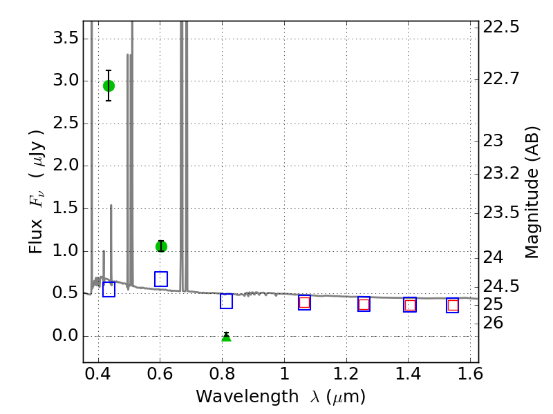
PLCKG171-40 ACS+IR detection object #45

Color images and BPZ results
Catalog: 45.cat
Black segments are analyzed here.   Roll mouse over color images to view segments.
Best viewed in a wide browser window (1200 pixels or more).   Download SED & P(z) plots to view larger versions.
In P(z) plots: Yellow lines mark the cluster redshift z = 0.270,  

Object #45   x,y = (821, 4285)   RA, Dec = (03:13:03.888, 08:24:07.92) = (48.26620, 8.40220)   BPZ = 0.019 [0.010--0.038]   type = 11.00 (SB11_A_0_l)   chisq2 = 238.80   ODDS = 1.00   z_cluster = 0.270