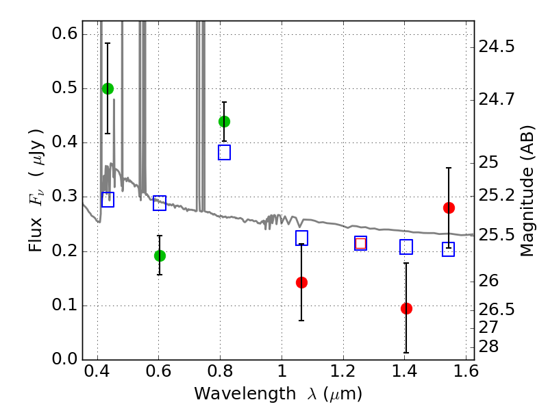
PLCKG171-40 ACS+IR detection object #445

Color images and BPZ results
Catalog: 445.cat
Black segments are analyzed here.   Roll mouse over color images to view segments.
Best viewed in a wide browser window (1200 pixels or more).   Download SED & P(z) plots to view larger versions.
In P(z) plots: Yellow lines mark the cluster redshift z = 0.270,  

Object #445   x,y = (2550, 3867)   RA, Dec = (03:12:56.904, 08:23:42.72) = (48.23710, 8.39520)   BPZ = 0.112 [0.086--0.781]   type = 11.00 (SB11_A_0_l)   chisq2 = 5.28   ODDS = 0.71   z_cluster = 0.270