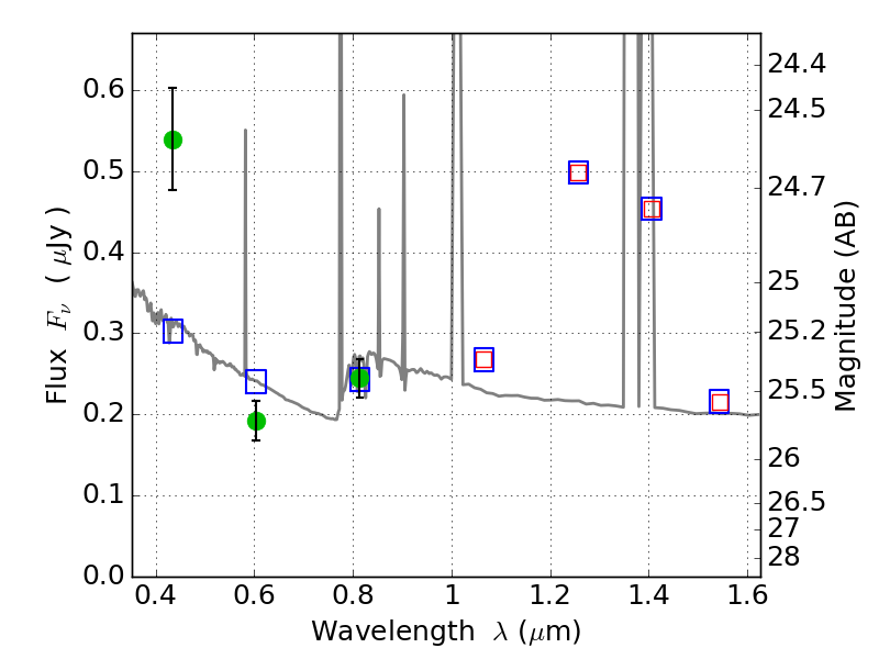
PLCKG171-40 ACS+IR detection object #4100

Color images and BPZ results
Catalog: 4100.cat
Black segments are analyzed here.   Roll mouse over color images to view segments.
Best viewed in a wide browser window (1200 pixels or more).   Download SED & P(z) plots to view larger versions.
In P(z) plots: Yellow lines mark the cluster redshift z = 0.270,  

Object #4100   x,y = (1725, 1651)   RA, Dec = (03:13:00.240, 08:21:29.88) = (48.25100, 8.35830)   BPZ = 1.080 [0.771--2.261]   type = 11.00 (SB11_A_0_l)   chisq2 = 12.56   ODDS = 0.32   z_cluster = 0.270