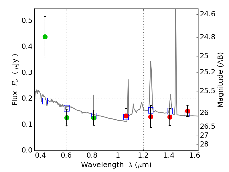
PLCKG171-40 ACS+IR detection object #3969

Color images and BPZ results
Catalog: 3969.cat
Black segments are analyzed here.   Roll mouse over color images to view segments.
Best viewed in a wide browser window (1200 pixels or more).   Download SED & P(z) plots to view larger versions.
In P(z) plots: Yellow lines mark the cluster redshift z = 0.270,  

Object #3969   x,y = (2397, 1474)   RA, Dec = (03:12:57.528, 08:21:19.08) = (48.23970, 8.35530)   BPZ = 1.899 [0.778--2.697]   type = 10.70 (SB11_A_0_l - SB3_B10)   chisq2 = 2.97   ODDS = 0.22   z_cluster = 0.270