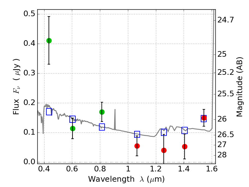
PLCKG171-40 ACS+IR detection object #3555

Color images and BPZ results
Catalog: 3555.cat
Black segments are analyzed here.   Roll mouse over color images to view segments.
Best viewed in a wide browser window (1200 pixels or more).   Download SED & P(z) plots to view larger versions.
In P(z) plots: Yellow lines mark the cluster redshift z = 0.270,  

Object #3555   x,y = (3039, 1792)   RA, Dec = (03:12:54.936, 08:21:38.16) = (48.22890, 8.36060)   BPZ = 2.239 [0.153--2.966]   type = 11.00 (SB11_A_0_l)   chisq2 = 3.93   ODDS = 0.31   z_cluster = 0.270