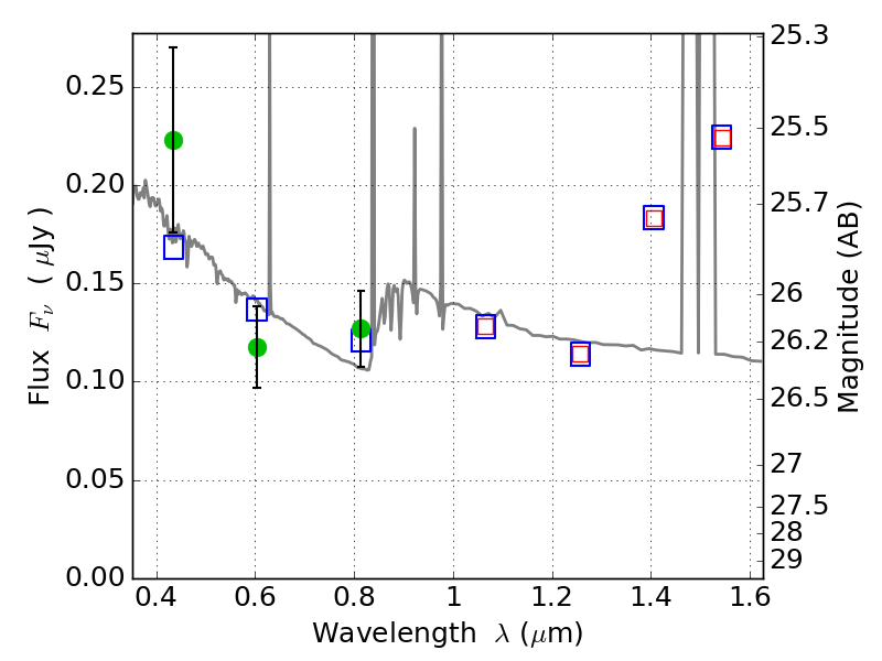
PLCKG171-40 ACS+IR detection object #354

Color images and BPZ results
Catalog: 354.cat
Black segments are analyzed here.   Roll mouse over color images to view segments.
Best viewed in a wide browser window (1200 pixels or more).   Download SED & P(z) plots to view larger versions.
In P(z) plots: Yellow lines mark the cluster redshift z = 0.270,  

Object #354   x,y = (1581, 3930)   RA, Dec = (03:13:00.816, 08:23:46.68) = (48.25340, 8.39630)   BPZ = 1.249 [0.478--2.661]   type = 11.00 (SB11_A_0_l)   chisq2 = 1.83   ODDS = 0.12   z_cluster = 0.270