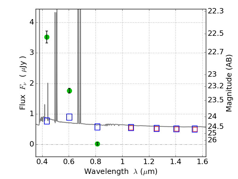
PLCKG171-40 ACS+IR detection object #3054

Color images and BPZ results
Catalog: 3054.cat
Black segments are analyzed here.   Roll mouse over color images to view segments.
Best viewed in a wide browser window (1200 pixels or more).   Download SED & P(z) plots to view larger versions.
In P(z) plots: Yellow lines mark the cluster redshift z = 0.270,  

Object #3054   x,y = (710, 2143)   RA, Dec = (03:13:04.344, 08:21:59.40) = (48.26810, 8.36650)   BPZ = 0.017 [0.010--0.034]   type = 11.00 (SB11_A_0_l)   chisq2 = 315.90   ODDS = 1.00   z_cluster = 0.270