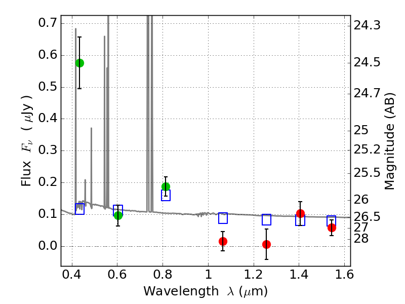
PLCKG171-40 ACS+IR detection object #2824

Color images and BPZ results
Catalog: 2824.cat
Black segments are analyzed here.   Roll mouse over color images to view segments.
Best viewed in a wide browser window (1200 pixels or more).   Download SED & P(z) plots to view larger versions.
In P(z) plots: Yellow lines mark the cluster redshift z = 0.270,  

Object #2824   x,y = (2243, 2255)   RA, Dec = (03:12:58.152, 08:22:05.88) = (48.24230, 8.36830)   BPZ = 0.116 [0.080--2.681]   type = 11.00 (SB11_A_0_l)   chisq2 = 10.37   ODDS = 0.38   z_cluster = 0.270