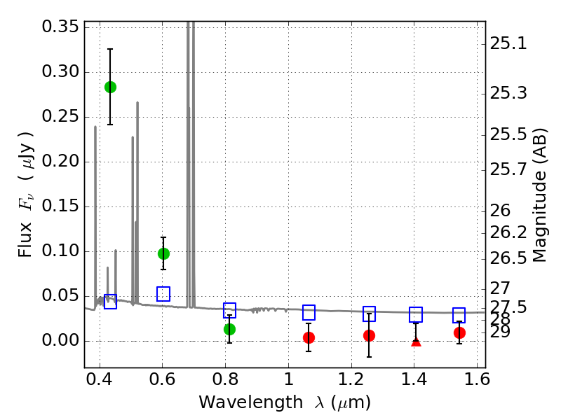
PLCKG171-40 ACS+IR detection object #2558

Color images and BPZ results
Catalog: 2558.cat
Black segments are analyzed here.   Roll mouse over color images to view segments.
Best viewed in a wide browser window (1200 pixels or more).   Download SED & P(z) plots to view larger versions.
In P(z) plots: Yellow lines mark the cluster redshift z = 0.270,  

Object #2558   x,y = (2304, 2413)   RA, Dec = (03:12:57.888, 08:22:15.60) = (48.24120, 8.37100)   BPZ = 0.041 [0.034--3.109]   type = 11.00 (SB11_A_0_l)   chisq2 = 12.04   ODDS = 0.07   z_cluster = 0.270