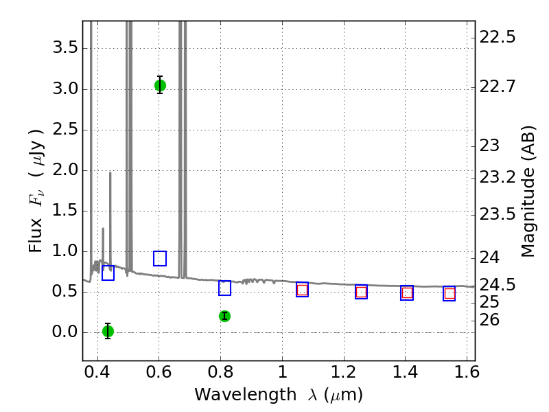
PLCKG171-40 ACS+IR detection object #2522

Color images and BPZ results
Catalog: 2522.cat
Black segments are analyzed here.   Roll mouse over color images to view segments.
Best viewed in a wide browser window (1200 pixels or more).   Download SED & P(z) plots to view larger versions.
In P(z) plots: Yellow lines mark the cluster redshift z = 0.270,  

Object #2522   x,y = (4221, 2431)   RA, Dec = (03:12:50.136, 08:22:16.68) = (48.20890, 8.37130)   BPZ = 0.016 [0.010--0.032]   type = 11.00 (SB11_A_0_l)   chisq2 = 377.90   ODDS = 1.00   z_cluster = 0.270