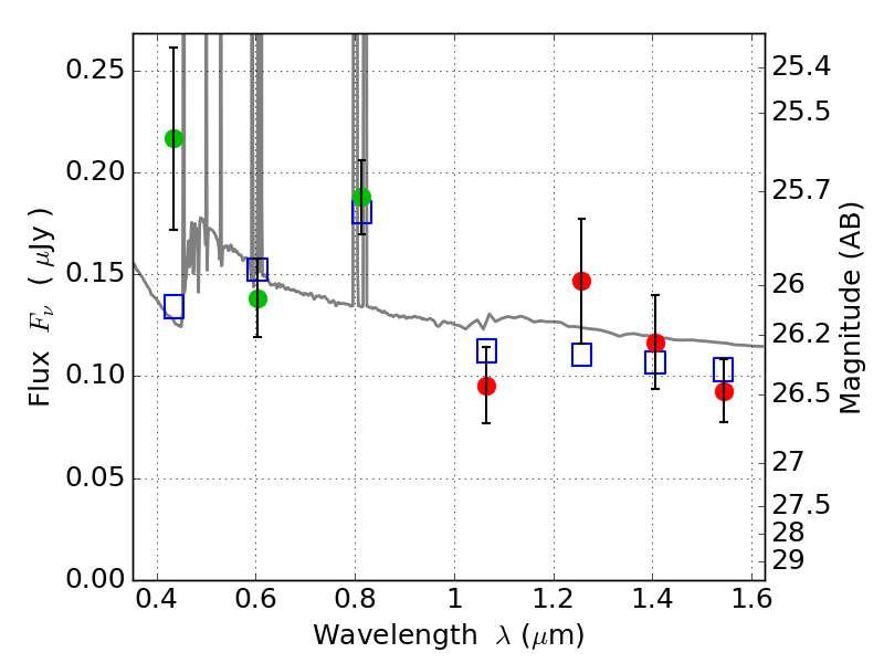
PLCKG171-40 ACS+IR detection object #2154

Color images and BPZ results
Catalog: 2154.cat
Black segments are analyzed here.   Roll mouse over color images to view segments.
Best viewed in a wide browser window (1200 pixels or more).   Download SED & P(z) plots to view larger versions.
In P(z) plots: Yellow lines mark the cluster redshift z = 0.270,  

Object #2154   x,y = (1933, 2620)   RA, Dec = (03:12:59.400, 08:22:27.84) = (48.24750, 8.37440)   BPZ = 0.225 [0.085--0.855]   type = 11.00 (SB11_A_0_l)   chisq2 = 1.47   ODDS = 0.41   z_cluster = 0.270