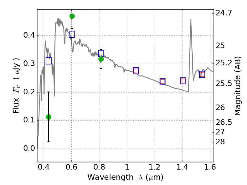
PLCKG171-40 ACS+IR detection object #2051

Color images and BPZ results
Catalog: 2051.cat
Black segments are analyzed here.   Roll mouse over color images to view segments.
Best viewed in a wide browser window (1200 pixels or more).   Download SED & P(z) plots to view larger versions.
In P(z) plots: Yellow lines mark the cluster redshift z = 0.270,  

Object #2051   x,y = (4223, 2773)   RA, Dec = (03:12:50.136, 08:22:37.20) = (48.20890, 8.37700)   BPZ = 2.932 [0.049--3.619]   type = 11.00 (SB11_A_0_l)   chisq2 = 6.39   ODDS = 0.27   z_cluster = 0.270