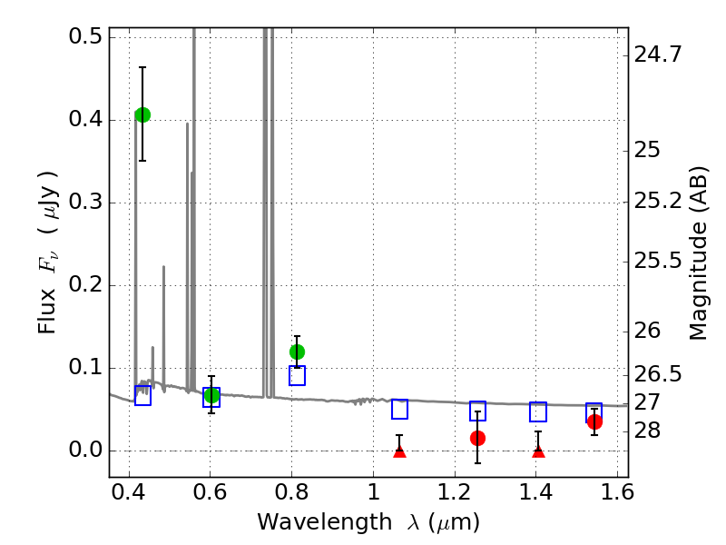
PLCKG171-40 ACS+IR detection object #1894

Color images and BPZ results
Catalog: 1894.cat
Black segments are analyzed here.   Roll mouse over color images to view segments.
Best viewed in a wide browser window (1200 pixels or more).   Download SED & P(z) plots to view larger versions.
In P(z) plots: Yellow lines mark the cluster redshift z = 0.270,  

Object #1894   x,y = (2354, 2881)   RA, Dec = (03:12:57.696, 08:22:43.68) = (48.24040, 8.37880)   BPZ = 0.116 [0.074--2.768]   type = 11.00 (SB11_A_0_l)   chisq2 = 12.24   ODDS = 0.45   z_cluster = 0.270