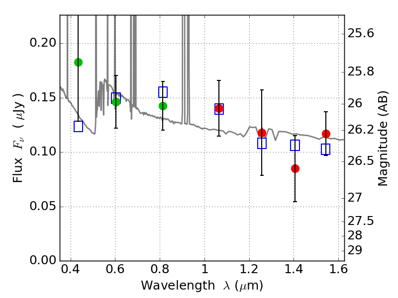
PLCKG171-40 ACS+IR detection object #1855

Color images and BPZ results
Catalog: 1855.cat
Black segments are analyzed here.   Roll mouse over color images to view segments.
Best viewed in a wide browser window (1200 pixels or more).   Download SED & P(z) plots to view larger versions.
In P(z) plots: Yellow lines mark the cluster redshift z = 0.270,  

Object #1855   x,y = (1486, 2896)   RA, Dec = (03:13:01.200, 08:22:44.40) = (48.25500, 8.37900)   BPZ = 0.377 [0.155--3.309]   type = 11.00 (SB11_A_0_l)   chisq2 = 0.58   ODDS = 0.08   z_cluster = 0.270